透過碳封存恢復土壤:香港的故事
Reviewed and edited by our locally appointed soil expert Mrs Mak and Mr Daniel Yuen from Homeland Green
如何在100年內喪失我們的土壤...
在人類歷史上有記錄以來最熱的一年結束後,我們迎來了另一個充滿不確定性的一年大量極端天氣事件亦在醞釀。應不會感到奇怪,即使平衡的碳循環也無法應對當前的氣候變化。過去一個世紀人類管理土地的方式已經摧毀了各種碳匯,將大量溫室氣體釋放到大氣中,對氣候造成嚴重破壞。
再生農業為食品領域提供了一條應對氣候變化的途徑,同時還可以通過將大氣中的碳儲存在土壤中來恢復受損土地(土壤被視為全球第二大碳匯)。在香港,零碳足食(亞洲)與綠蔭家園合作,通過各個 復元項目展示了再生農業的可行性、碳封存潛力以及對重塑我們糧食系統的重要性。
自從2023年的復元計劃開始,我們一直使用土壤測試來評估我們受助農場的進展。我們的技術協助提供者(TAPs)在項目的不同階段收集土壤樣本,由我們的前項目經理 Hilda 參考 Soil Health Institute 的方法進行管理,並得到香港中文大學的技術支持進行測試。結果揭示了復元項目令人鼓舞的成果!讓我們一起來探究吧!
土壤有機碳(亦稱Soil Organic Carbon, 下稱SOC)
SOC是最重要的評估之一,因為它衡量了土壤有機物中的碳含量,而土壤有機物(Soil Organic Matter)有助於土壤肥力、營養保留、水分保持、結構和碳封存。您應該可以看出來這是對土壤質量和生產力的直接評估!土壤碳含量的降低對土地退化產生了很大影響,對生產食物的能力有著不良影響。最近在東南亞進行的一項研究顯示,工業種農田的SOC的含量低於2%。
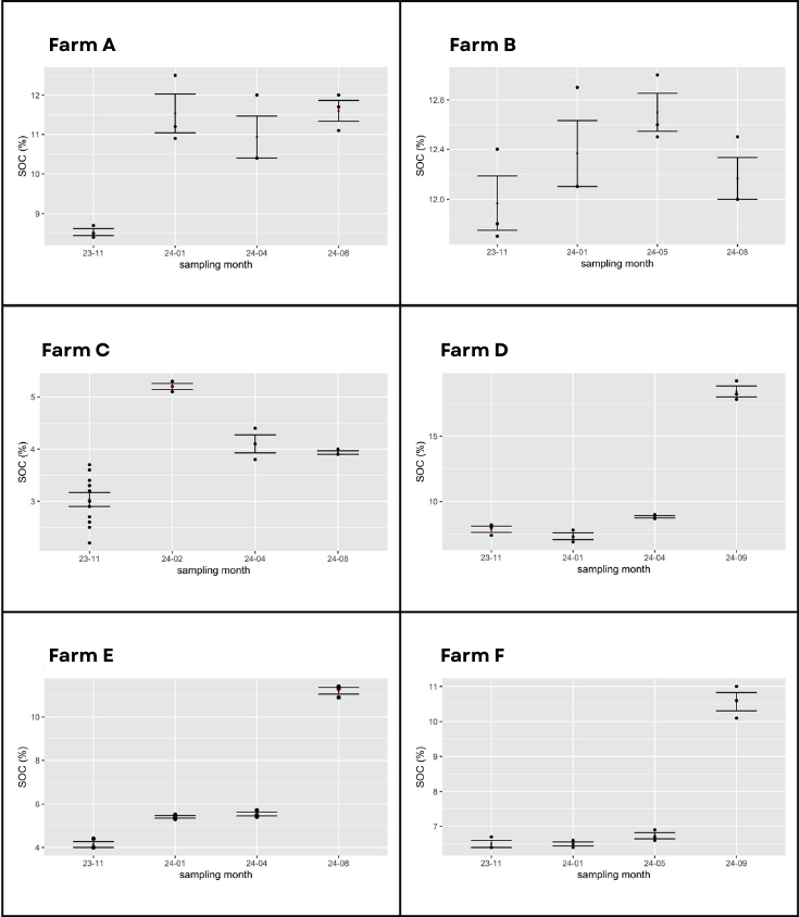
圖 1.
(為確保更準確的結果,每次評估都進行了多次測試。每個黑色圓點表示單個測試的結果,平均值和標準誤差則分別顯示為紅色圓點和I-bar。)
在2023-24年,我們復元計劃的受助農場表現如何呢?圖1展示了全年六個農場的測試結果,大多數農場的SOC含量都略有增加。農場A和農場B是我們的超級明星,它們能夠保持土壤有機碳含量在10%以上,不斷種植出健康優良且幾乎沒有疾病的作物。然而,這並不意味著其他農場在略微增加和/或保持SOC水平方面沒有取得令人印象深刻的成就。考慮到農場不斷清除生物質(如收割作物),而實際上對現有有機物的貢獻微乎其微(更不用說有機物通常僅含有約58%的碳),因此即使是維持水平,也需要巨大的努力,更不用說增加了。
「首先,您的農作物收穫會移除高達50%的生物質。然後,剩餘農作物生物質中約有90%會被土壤生物分解,只有10%貢獻給土壤有機物。您還必須考慮現有土壤有機物每年1-5%的損失。」
- Andrew McGuire,華盛頓州立大學永續農業和自然資源中心的農學家兼教授
來源:FAO
工業農場繼續翻土和使用化肥/農藥會迅速降低土壤中的有機物水平並加速土壤侵蝕。考慮到《巴黎協定》的目標只旨在每年增加0.4%,我們受助農場在一年內(如農場C)實現了1%的增長,他們顯示出明顯的改善,有助確保糧食安全和氣候恢復。
備註:
2024年8月/9月農場D、E和F土壤有機碳的急劇增加可能是由於土壤樣本中混入堆肥,應該持保留態度,直到進一步的結果可用為止。
土壤呼吸 (Soil Respiration)
SOC評估讓我們了解土壤中含有多少碳,而在另一方面,土壤呼吸測試則可以提供一個更生動的描述,為我們了解地底下正在發生的交流。基本上,土壤呼吸測試土壤生物產生的二氧化碳,包括微生物(細菌、真菌)、植物根系和土壤動物羣(蚯蚓和蟎等),測試亦評估了它們支持植物生長養分循環的能力。這兩個評估都分析了土壤健康狀況,性質相似;較高的測量值代表較高的SOC可用性和微生物的活動。
圖 2.
在圖2中,大多數農場的土壤呼吸結果呈現出全年增加的趨勢。當微生物分解有機物時,它們會呼吸,將其轉化為植物可利用的形式。從圖2可以看出,農場A、B、C和D的土壤呈現出非常活躍的微生物交互作用,而其他兩個農場則保持穩定水平或呈上升趨勢。顯然,我們的受助農民在實施積極餵養土壤微生物並為作物提供最佳生長條件的再生實踐方面做得非常好。
備註:
應該忽略2024年4月農場F的讀數,因為可能存在測試錯誤。
土壤科學既複雜又具有情境性。沒有一種解決土壤退化問題的萬能方法,因此我們指定的當地土壤專家經常建議我們的受助農戶在其能力範圍內盡可能實施多類再生實踐,以獲得最佳效果。
接下來呢?
在這個復元年度中,我們將繼續定期收集土壤樣本,以評估我們受助農場的進展。我們的受助農民堅信以自然為先的土地管理方式,他們繼續保持最小程度的土壤干擾,應用堆肥和有機物質、種植覆蓋作物、並實施許多更適合當地情況的再生實踐。我們相信,隨著目前的勢頭,顯著的改善應該并不遠,我們期待今年令人振奮的結果!敬請關注!
参考資料和其他讀物:
https://www.sciencedirect.com/topics/earth-and-planetary-sciences/soil-organic-carbon
https://www.agric.wa.gov.au/measuring-and-assessing-soils/what-soil-organic-carbon
https://csanr.wsu.edu/putting-numbers-to-the-difficult-task-of-increasing-soil-organic-matter/
https://www.nrcs.usda.gov/sites/default/files/2022-10/Soil%20Respiration.pdf